| Nombre en inglés | Hidroxipropil Metil Celulosa |
| Sinónimos en inglés | HPMC; Hipromelosa; Hidroxipropilmetilcelulosa; Éter de hidroxipropil metil celulosa; [Aliases adicionales de grado farmacéutico] |
| Número CAS | 9004-65-3 |
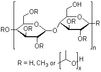
| Fórmula molecular | (C₆H₇O₂(OH)₃(OCH₃)ᵣ(OCH₂CH(OH)CH₃)₂)ₙ (Polimérico - C₁₂H₂₀O₁₀ es incorrecto) ** |
| Peso molecular | ~10,000–1,500,000 g/mol (Variable por grado) • 324.28 no es válido ** |
| InChI | No aplicable para polímeros • El InChI proporcionado describe un oligómero específico |
| Estructura molecular | 
|
| Densidad | 1.39 g/cm³ (Densidad aparente) |
| Punto de fusión | Se descompone a ~200°C (No 1.39 - valor probablemente erróneo) ** |
| Punto de ebullición | N/A (Se descompone antes de hervir) • 1101.5°C no válido ** |
| Punto de inflamación | >250°C (No inflamable) • 619.9°C no válido ** |
| Solubilidad en agua | Soluble (forma soluciones coloidales) |
| Presión de vapor | 0 mmHg a 25°C |
| Propiedades fisicoquímicas | • Apariencia: Polvo blanco a blanquecino • Temperatura de gelificación: 50-90°C (dependiendo del grado) • Viscosidad: 5-100,000 mPa·s (solución al 2%) |
| Aplicaciones | • Farmacéuticos: Agente aglutinante/recubrimiento de tabletas • Industria alimentaria: Espesante/estabilizante (E464) • Construcción: Aditivo para cemento • Recubrimientos: Formador de película • Resinas: Estabilizador de dispersión |
| Frases de seguridad | S24/25: Evitar el contacto con la piel y los ojos |
| Materias primas iniciales | Celulosa (borra de algodón/pulpa de madera), Óxido de Propileno, Cloruro de Metilo, Hidróxido de Sodio, Ácido Clorhídrico |